Doherty放大器最重要的特性是负载调制(load modulation),它完美地合成了两个放大器的不对称输出功率。在小功率等级下只有一个放大器(称为载波放大器,carrier amplifier)以低功率电平工作,并且在相同功率等级下Doherty 功放的效率是采用两倍大放大器在相同输出功率等级下所获得的效率的两倍。Doherty 功放两个放大器(第二个称为峰值放大器(peaking amplifier))以更高的功率电平产生功率,并且由于良好的负载调制特性,载波放大器(carrier amplifier)在该区域中以峰值效率模式工作。该特性提供了对幅度调制信号的有效放大。受载波和峰值放大器的电流比调制的负载可以自我调节,可以实现在两个输出功率等级下的峰值效率:其中当峰值放大器(PA,peaking amplifier)刚导通时,载波放大器(CA,carrier amplifier)提供第一个峰值效率,当两个放大器产生其满功率时,在这个输出功率等级下Doherty放大器处于第二个峰值效率点。 Doherty负载调制的另一个重要特性是放大器的总增益是恒定的,既它提供的是线性放大。
图1.1由电压和电流源驱动的负载调制电路
最简单的负载阻抗调制概念说明如图1.1所示,其中压控电压源(VCVS,voltage-controlled voltage source )与压控电流源(VCCS,voltage-controlled current source)以及负载电阻R并联.VCVS看到阻抗Z1由电流I2调制,如下面的方程所示:

将电流I2从零变为IR = V1 / R,Z1从R变为∞。在该电路中,VCCS(压控电流源)调制VCVS(压控电压源)的负载阻抗。在Doherty放大器中,使用I2调制Z1的能力被适当地用于跟踪放大器的最佳阻抗,以在回退输出功率电平下也能有效地操作。图1.1中的设置的一个重要特性是整个Doherty系统的线性度仅由压控电压源(VCVS,voltage-controlled voltage source )的线性度决定,因为负载两端的电压Vout总是等于V1。因此,只要V1与Vin成线性比例,无论I2的值如何,都可以保证线性。为此目的,阻抗Z1应通过指定I2对Vin曲线来跟踪给定的阻抗曲线与Vin的关系。虽然在数学上很容易定义它,但在实践中实现给定的I2与Vin曲线可能是一个挑战。
在负载调制技术中,VCVS和VCCS具有重要作用。前者确保放大器的线性度,而后者用作负载调制器件,其I2对Vin曲线确定VCVS看到的阻抗Z1。这两个属性对于Doherty电路配置的推导都很重要。
Doherty放大器使用不同的电路拓扑进行负载调制。它由两个放大器(两个电流源)和一个阻抗反相网络组成,该阻抗反相网络将一个电流源转换为电压源。该转换放大器称为载波放大器,另一个电流源放大器称为峰值放大器。
图1.2 Doherty放大器的工作图
图1.2显示了分析Doherty放大器电路的操作图。输出负载通过阻抗逆变器(四分之一波传输线)连接到载波放大器,并直接连接到峰值放大器。在该图中,峰值功率下载波和峰值放大器的最佳功率匹配阻抗为R0,当峰值放大器关闭时,载波放大器的负载由于两个放大器的并联连接而变为R0 / 2 。假设器件的输出电容器谐振,四分之一波长线的相位延迟在输入端得到补偿。
阻抗逆变器的特征阻抗也为R0。载波放大器在Z1‘和Z1处的负载阻抗如图1.2所示,由下式给出:

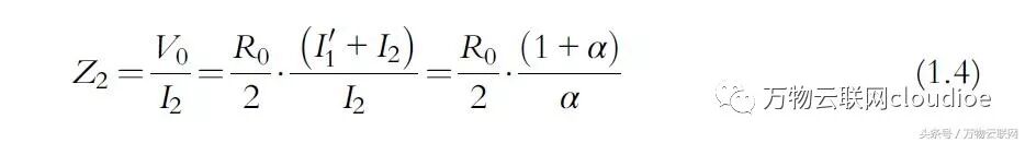
其中α= I2 / I1' 方程(1.3)表明表示载波放大器的电流源I1看到的负载阻抗由第二电流源I2调制, I2是峰值放大器的输出电流。应注意,由于阻抗变化,I1’与I1不同。此外,在正常的Doherty操作中,峰值放大器的电流电平从0变化到I1=Imax,Imax是两个放大器的最大电流,α从0变为1。通常情况下,I1和I2可以处理相同的电流量,即两个放大器的相同尺寸器件,当I2 =I1=Imax时,在峰值功率情况下,Z1为R0,因为在峰值功率情况下I1等于I1‘。当I2 = 0时Z1为2R0,且I2介于0和Imax之间变化时,Z1也在两个值之间变化。这是Doherty负载调制行为,如图1.3C所示。
因为电流I2为零,因此峰值放大器提供开路负载直到它导通。在导通之后,阻抗Z2也被类似地调制,其由下式给出:
图1.3 载波和峰值放大器的电流,电压和负载阻抗形状:(A)电流曲线,(B)电压曲线,(C)负载阻抗
负载调制行为也在图1.3C中描述。载波阻抗从2R0调制到R0,峰值阻抗从无穷大调制到R0。在该图中,假设每个电流源与输入电压成线性比例,并且R0等于晶体管的ROPT,即最佳功率匹配电阻。如图1.3A所示,由于峰值放大器的C类偏置,I2在中点导通,并且增加到最大值。由于B类偏压,I1从零栅极电压线性增加。在该操作中,峰值放大器的跨导应该是载波放大器的跨导的两倍,这是由于其输出电压摆幅的一半用于产生最大电流。为了获得两倍大的跨导,峰值放大器应该比载波放大器大两倍。但在这种情况下,只有一半的峰值电流被利用,浪费了功率生成能力。为了解决这个问题,开发了不均匀的驱动技术,将在后面的文章中介绍。